信息学奥赛一本通T1165:递归算法 Hermite多项式

【题目描述】用递归的方法求Hermite多项式的值对给定的x和正整数n,求多项式的值,并保留两位小数。【输入】给定的n和正整数x。【输出】多项式的值。【输入样例】1 2【输出样例】4.00【源程序】 

信息学奥赛一本通T1165:Hermite多项式

【题目描述】

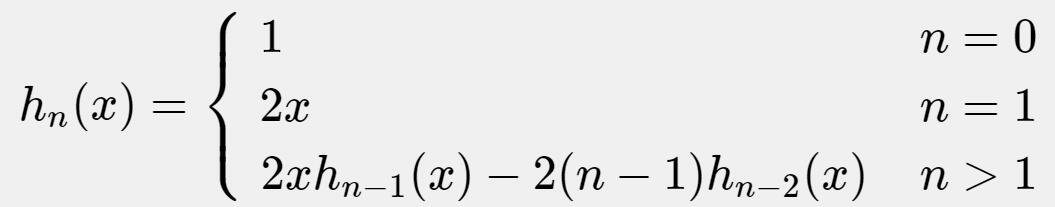
用递归的方法求Hermite多项式的值

对给定的x和正整数n,求多项式的值,并保留两位小数。

【输入】

给定的n和正整数x。

【输出】

多项式的值。

【输入样例】

1 2

【输出样例】

4.00

【源程序】

#include<iostream>
#include<cstdio>
using namespace std;
double calculate(int n,int x);

int main()
{
    int n,x;
    double result;
    cin>>n>>x;
    result=calculate(n,x);
    printf("%.2lf\n",result);
    return 0;
}

double calculate(int n,int x)
{
    if(n==0)//判断是否到达递归边界n=0
        return 1;
    else if(n==1)//判断是否到达递归边界n=1
        return 2*x;
    else//否则继续递归
        return ( 2*x*calculate(n-1,x)-2*(n-1)*calculate(n-2,x) );
}

 

信息学奥赛一本通T1165:递归算法 Hermite多项式 归属于 递归算法,更多同类题解源程序见:递归算法 和 Hermite多项式

0 条评论

请先 登录 后评论
不写代码的码农
轩爸

0 篇文章

作家榜 »

  1. admin 2 文章
  2. 张芳 0 文章
  3. hanna 0 文章
  4. Jason 0 文章
  5. lixiaioqian 0 文章
  6. GeraldWrora 0 文章
  7. 董伟 0 文章
  8. 信奥达人 0 文章